Lípidos Esteroides


Instrucciones

  • A continuación se describen las diferentes formas de representación de la molécula utilizando Jsmol.
  • Haga clic en la (+) del cuadro verde para extenderlo y poder leer la descripción.

  • Para cerrar el cuadro, haga clic en el signo (-).

Instrucciones

Usted tiene las siguientes opciones en este simulador para moléculas pequeñas tanto inorgánicas como orgánicas.

  • En la parte superior, aparecen los botones 2D y 3D para que pueda observar el modelo en dos o tres dimensiones.
  • A continuación se presenta el modelo en dos o tres dimensiones.
  • "Search" puede ser utilizado para buscar alguna molécula, escribiendo el nombre en inglés, por ejemplo al escribir, sulphuric acid (ácido sulfúrico).
  • Color de fondo, sirve seleccionar el color del fondo del modelo en tres dimensiones.
  • Acercar +, acerca el modelo.
  • Acercar -, aleja el modelo.
  • Girar X, Y, Z, para girar el modelo en tres dimensiones en los ejes x, y, z.
  • Alambres, varillas y pelotas y varillas, para cambiar el modelo en tres dimensiones en esas representaciones.
  • Energía, aparce en la parte superior la energía de la molécula en kJ/mol o kcal/mol.
  • Minmizar por MMFF94, normalmente las estructuras iniciales que se crean en los simuladores poseen energías mucho mayores a las que tendría un objeto real, por esta razón, se utilizan algoritmos para calcular las posiciones y fuerzas originales, con el objetivo de minimizarlas y que sean más realistas.
  • Arrastrar Minimizar, usted puede arrastrar un átomo, soltarlo y entonces el sistema hace un cálculo de minimización de energía.
  • Simetría, muestra los planos de simetría en la molécula.
  • Editar, puede editar la molécula agragando o quitando átomos y enlaces.
  • Superficie VDW, la superficie de van der Waals de una molécula es una representación abstracta o modelo de esa molécula, que ilustra dónde, en términos muy generales, podría haber una superficie para la molécula en función de los cortes duros de los radios de van der Waals para átomos individuales, y representa una superficie a través de la cual la molécula podría concebirse interactuando con otras moléculas.
  • Photo
  • PEM es el mapa de potencial electrostático.
  • Tetraedros, para el caso que exista alguna átomo tetraédrico.
  • Dipolos enlaces, para ver el los dipolos de todos los enlaces.
  • Dipolo molecular, para ver el momento dipolar resultante de toda la molécula.
  • Hibridación sp, sp2 y sp3, para ver la hibridacion del átomo de carbono.
  • C quiral (nomenclatura R/S) y E/Z para isomería geométrica en alquenos, los descriptores R/S permiten indicar en un compuesto orgánico la configuración (la disposición espacial de los sustituyentes) de un carbono o centro quiral, estereocentro o centro estereogénico, que es el caso de un átomo de carbono con cuatro sustituyentes diferentes. Se añade R o S entre paréntesis como prefijo delante del nombre de la molécula orgánica. En caso de ser más de uno el centro estereogénico, separados por coma se indica el descriptor R o S de cada uno, precedido del número o localizador que identifica su posición.
  • Invertir R/S, para cambiar la quiralidad.
  • Nomenclatura E/Z en Alquenos, el sistema tradicional para nombrar los isómeros geométricos de un alqueno, en el que los mismos grupos están dispuestos de manera diferente, es nombrarlos como cis o trans. Sin embargo, es fácil encontrar ejemplos donde el sistema cis-trans no se aplica fácilmente.
  • N electrones, O electrones y S electrones, para ver los electrones libres del nitrógeno, oxígeno y azufre.
  • C primario, C secundario, C terciario, C cuaternario, identifica la clasificación de los átomos de carbono.
  • Dadores y aceptores de puentes de hidrógeno, señala los átomos que pueden dar o aceptar puentes de hidrógeno
  • Botón 2D, cuando escoge el botón 2D, la aplicación tiene su propio menú y quedan inhabilitados todos los botones 3D.

Lípidos

Esteroides

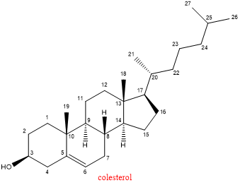
Los esteroides son lípidos que poseen un sistema de anillos fusionados de , el cual está constituido de una porción fenantrénica completamente saturada, fusionada a un anillo de ciclopentano. Los anillos se designan con letras mayúculas y los átomos de carbono siguen un orden preciso de numeración.

Photo
Estructura del colesterol

Los esteroides naturales normalmente tienen dos grupos metilos

Photo

Los anillos son indicados con las letras A, B, C y D.

Photo

Conformaciones

Hay cuatro anillos en el esqueleto de un esteroide porque tienen tres puntos de fusión. Los anillos A/B, B/C y C/D comparten dos carbonos en donde está la fusión. Cada centro de fusión puede tener la conformación cis o trans.

Para sistemas de dos anillos, las estructuras cis y trans se mirarían así: Cuando los dos hidrógenos indicados en el siguiente dibujo están opuestos el uno con el otro, esta es una conformación , y cuando están dirigidos hacia el mismo lado, es . El ciclohexano puede tener dos conformaciones, una de y la otra de , pero en el dibujo de abajo, la conformación es de silla.

Photo

Al unir los anillos A, B y C, estos podrían quedar en la siguiente forma:

  • (la mayoría de esteroides naturales y sintéticos tienen este esqueleto, por ejemplo, la ).
    Photo Photo
    5α-dihidrotestosterona
  • (algunos esteroides naturales tienen este esqueleto, por ejemplo, el ).
    Photo Photo
    ácido cólico
  • (pocos esteroides naturales tienen este esqueleto, por ejemplo, los glicósidos cardíacos como la ).

Aunque la estructura básica anular es la de un cicloalcano, algunos esteroides poseen uno, dos o tres dobles enlaces y muchos tienen uno o más grupos hidroxilo (estos esteroides suelen llamarse esteroles, lo cual destaca la presencia del grupo hidroxilo. Casi todos los esteroides contienen grupos metilo en los carbonos 10 y 13 y una cadena lateral en el carbono 17. Como el esqueleto esteroide es un sistema cíclico rígido, todos los sustituyentes deben estar situados arriba o abajo del plano de la molécula. Esto conduce a la posibilidad de isomería geométrica. Además, muchos de los átomos de carbono anulares son asimétricos y existen muchos isómeros ópticos. Puesto que los esteroides esencialmente son hidrocarburos de masa molar grande son solubles sólo en los disolventes de grasas. Difieren de los demás lípidos en cuanto a que no experimentan saponificación. Los esteroides forman una de las clases más versátiles de compuestos naturales. Cantidades sumamente pequeñas de esteroides y ligeras variaciones en estructura o en la naturaleza de los grupos sustituyentes, causan profundas modificaciones en la actividad biológica.

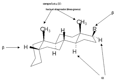
Configuraciones

El esqueleto esteroidal (todos los carbonos) con sus metilos (18 y 19-CH3) orientados hacia el observador (beta) y representados con una línea gruesa), en tanto que, la línea punteada corresponde a una posición que se dirige hacia atrás del observador (alfa).

Photo
Configuración α y β

Clases

Las siguientes son las clases de esteroides basadas en el número de átomos de carbono.

Photo
Colestanos: 27 carbonos, colesterol
Photo
Ácidos cólicos: 24 carbonos, ácido cólico
Photo
Pregnanos: 21 carbonos, progesterona
Photo
Andranos; 19 carbonos, testosterona
Photo
Estranos; 18 carbonos, estradiol

Nomenclatura

Photo
colest-5-eno-3β,7α-diol
Photo
11,17α,21-trihidroxi-pregn-4-en-3,20-diona

Colesterol

El no se encuentra en los vegetales, pero es el esteroide mejor conocido y más abundante (alrededor de 240 g) en el cuerpo humano y su mayor concentración corresponde al cerebro y tejido nervioso. Es el principal componente de los cálculos biliares, de los cuales puede separarse como sólido cristalino de color blanco. Su nombre se deriva de su procedencia (del griego, chole, bilis; stereos, sólido.
Photo
Estructura del colesterol

La mayoría de las carnes y alimentos derivados de productos animales, como huevos, mantequilla, queso y crema, son particularmente ricos en colesterol. Además, el colesterol es sintetizado en el hígado a partir de la acetilcoenzima A. El cuerpo humano genera aproximadamente 3 g diarios de colesterol. Casi todo el colesterol se convierte en ácido cólico, el cual se utiliza en la formación de sales biliares. El colesterol también es un importante precursor en la biosíntesis de hormonas sexuales y vitamina D.