--> HEMIACETALES Y ACETALES

Formación de Hemiacetales

Lic. Raúl Hernández M.

 


Contenidos:

I. Introducción
II. Mecanismo de formación del hemiacetal
III. Mecanismo de formación del acetal



I. Introducción

Ir al principio

Los aldehídos y cetonas también experimentan reacciones de adición en las que un alcohol se combina con el carbono carbonilo y el oxígeno. Los productos iniciales de la reacción de adición con alcoholes son conocidos como hemiacetales. Los hemiacetales tienen tanto características de alcohol por tener un grupo -OH y también características de éter por tener un grupo -OR a un carbono que inicialmente era un carbono carbonílico.

El átomo de oxígeno del alcohol polarizado negativamente se adiciona al carbono carbonílico polarizado positivamente. Casi todas las reacciones del grupo carbonílico se llevan a cabo siguiendo este mecanismo.

La reacción es reversible. Los hemiacetales producen la reacción inversa para formar el aldehído o cetona inicial perdiendo alcohol y estableciendo un equilibrio.

El etanol (CH3CH2OH) forma un hemiacetal con el acetaldehído y un hemicetal con la acetona como se puede observar a continuación:

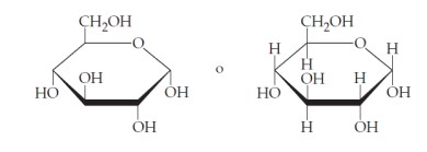
En la práctica, los hemiacetales son inestables para ser aislados. Cuando se alcanza el equilbrio, hay muy poca cantidad de hemiacetal. Hay una gran excepción a esta situación, y es en los carbohidratos cuando se forman hemiacetales cíclicos.

La estructura cíclica de la glucosa también se puede representar de la siguiente manera:


Mecanismo de formación del hemiacetal

Ir al principio


Mecanismo de formación del acetal

Ir al principio

Si se agrega una pequeña cantidad de catalizador ácido a la reacción de un alcohol con un aldehído o cetona, el hemiacetal formado inicialmente es convertido a un acetal en una reacción de sustitución. Un acetal es un compuesto que tiene dos grupos funcionales éter unidos a lo que era el carbono carbonílico:

Formación del hemiacetal con catálisis ácida

Formación del acetal con catálisis ácida




 

Ir Arriba